因應現代科技的快速進步,幾乎人手都有一樣科技產品,生活中更是越來越多事物都與科技有所關連,如何讓科技可以更加融入生活正是此時此刻非常重要的議題。為了能夠在生活中實現,本作品以居家安全與居家防盜為設計出發點,使用盛群HT32F1765晶片與創新設計手機APP,並結合數位化混沌系統同步技術,提出高安全性的電子防盜鎖具,讓宵小無法輕而易舉的就破解門鎖,同時設計可監測屋內外之IP CAMERA結構,讓就算在外的屋主也可隨時選擇觀看家中屋內或屋外的情況,而即時拍攝入侵者的畫面也會立即儲存在IP CAMERA的記憶卡中,以便日後的報案處理。
創新的設計讓民眾家中的門鎖達到高安全的防盜功能。此次研究設計,將以數位化的方式實現混沌系統及同步控制設計,不同於以往使用類比式元件設計之混沌鎖具,可達到體積小、穩定性高、維修容易的好處。
本作品計畫目標在於:將傳統運算放大器及被動元件所組成的混沌電路數位化,並利用HT32F1765控制器高速的計算能力,以程式演算法的方式實現混沌系統。除了可以大幅提升混沌系統的穩定性及調變性外,更可降低成本及體積;在晶片內離散化混沌訊號,也能加快訊號加密的速度及穩定性,以達到本作品所求之目標-門鎖密碼的高度保密性與安全性。
創作動機
在台灣有許多宵小經常使用一些簡單之工具便可以輕輕鬆鬆的撬開而破解傳統式的居家門鎖,導致屋主回家後才發現遭闖空門,也只能調出監視錄影器或者是報警追查是何人,這樣的情形層出不窮,就算更換了一般的電子鎖也不見得可以與一般的監視錄影器做結合。
依內政部警政署統計,住宅竊盜仍然佔民生竊盜的第一名,由此可見居家防盜仍然是相當重要的一環,其中鎖具的改變從傳統簡易型的機械式門鎖,到現今家中的門鎖都增加了許多不同的安全功能;例如:進家門提醒、改善門鎖結構、改善門鎖材質。
而與現代科技做到結合的就是電子式鎖具,如今新建設好的廣泛大樓幾乎都是使用電子式門鎖,主要是節省掉用鑰匙開門,而其中以防他人破解門鎖的安全程度則有待觀察,此作品創新數位化電子鎖考慮到的就是以遭破解安全性為主要重點,我們改良了以往的電子鎖單純輸入密碼即能解鎖的單調功能,創新設計門鎖需與主人手機端做連結,當門鎖開門時無法偵測到手機的存在,則將認定開門的並非為屋主,手機APP端會即刻通知屋主,創新開發數位化同步系統之電子鎖具設計,並配合IP CAMERA即時拍攝入侵者之畫面,讓整體電子鎖的安全性提升許多。

| 圖一 : 台北市住宅失竊率(資料來源:台北市政府、實價網、優美地產/聯合晚報) |
|
創作目的與創作緣由
此創新之電子鎖係將連續混沌系統將以離散化後,加上創新同步技術,使主僕系統同步,並在同步的前提下,產生混沌系統類隨機的狀態響應,並利用混沌系統對起始值相當敏感,不可預測之特性(蝴蝶效應),有效解決傳統電子鎖被暴力破解的可能性。此發明設計中使用到的混沌技術,與過往技術不同且進步重點之一是將原先的類比訊號技術轉移成數位訊號技術。
自從氣象學家Lorenz提出蝴蝶效應(Butterfly Effect),論述某系統如果初期條件僅有微小差距,卻造成未來巨大的變化,混沌系統因具有寬廣的傅利葉(Fourier)頻譜與在相位空間不可預測的特性,以及對初始條件高度敏感的特性,直觀上像是雜訊,因此近年來,在通訊安全的應用上,受到廣大學者的注意及研究。
有鑒於以往的電路製作技術,混沌系統的實現是以固定類比元件組成之多迴路的回授電路,製作複雜、體積龐大、系統會有飽和的疑慮。本作品改以程式演算法加以數位離散化,相較於傳統硬體電路所實現的混沌電路更大幅提升資料的安全性及可靠度;而本作品將著重於離散化混沌系統加解密原理的實現,將會使用HT32F1765微控制器於傳送端及接收端,主要工作在於處理混沌系統離散化加解密時,所需要的大量數學運算,所以HT32F1765微控制器在這裡所扮演極重要的角色。圖二為利用手機與電子鎖同步解鎖之架構圖
本次作品主要完成以離散化混沌系統為基礎之電子鎖加密系統之設計,內容我們將分下四點來做研究:
* 離散化混沌系統建立
* 主僕系統同步處理設計
* 系統功能整合實現
* 系統成品實現
此系統不僅有完整之語音加密系統,可達到即時和穩定的語音加密及傳送功能,為通訊安全提供良好的保障以及安全性。
工作原理
本作品基於數位化同步系統之電子鎖具設計,係以連績混沌系統原有之特性將以離散化後與之應用在電子鎖上,其系統原理如下所述:
此電子鎖的居家防盜功能設計如下:當屋主進入屋內必須先透過創新設計的手機APP程式來辨識屋主身份,當手機端收到APP執行之指令時,主系統端將傳遞同步訊號至僕系統端,透過同步控制器來做訊號是否同步的確認,當主系統確認主僕兩端有達到訊號同步處理時,便開始進行智慧門鎖端隨機密碼之確認,確認成功後即可開鎖。若同步處理或隨機密碼確認失敗皆視為無法解鎖,則配合IP CAMERA即時拍攝入侵者之畫面,以便日後的報案處理外,另外同時設計兩台IP CAMERA之結構,方便在屋內與屋外皆可監控,屋主則可隨時觀看家中屋內外情況,此創新的設計讓民眾家中的門鎖達到高安全的防盜功能。
離散化混沌系統設計及實現
本次作品創新數位化電子鎖具與家庭防盜系統設計,係以連續混沌系統原有之特性將以離散化後與之應用,以下將條列介紹連續混沌系統之特性:非線性:有別於線性系統會收斂、發散之特性。這是混沌系統存在特有的行為,即奇異吸子,雖然其不穩定,但仍然存在一定的區域來限制其系統之狀態,使其系統不至於發散。
* 變幻莫測:類隨機的狀態響應,不可預測之特性。
* 蝴蝶效應:對起始值具有相當敏感的特性,即使同一系統,只要起始值不同,最後的狀態響應將截然不同。
* 寬闊的傅立葉頻譜:表示其訊號組成,是複雜的。
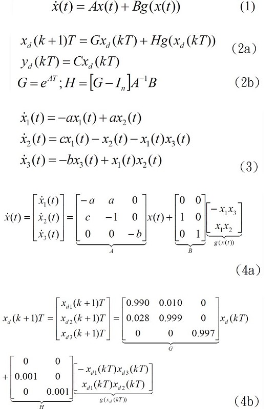
為充分應用以上特性,以下說明混沌系統的離散化方法,同時離散系統亦保有連續混沌系統的特性。連續混沌系統之動態方程可描述如式(1)。
其中包括非線性向量,以及可控的數值。則此型式之混沌系統(1)之離散時間系統可表示如式(2a)與式(2b)。
在此文中,首要目標在於設計離散混沌系統混沌的設計,並將之應用於即時語音加密系統的設計當中,因此如何將連續之混沌系統離散化,並保有原連續系統之混沌特性,是非常重要的,現利用上述說明的方法,可解決此一問題。現舉一非線性之Lorenz system說明,其連續系統描述如式(3)。
其中的簡化設計,我們可將上式寫成滿足(1)式之矩陣形式如式(4a)。
若以取樣間T=0.001秒,則由(2a)式,可以得到其離散系統如(4b)。
本作品首先研究離散混沌系統數位化,將混沌系統數位化的目的是可以有效解決傳統式類比混沌系統元件體積過大的問題,再者也比較不會受到雜訊干擾的影響以及元件老化所衍生的問題,並且實現於HT32F1765系統上,充分發揮嵌入式系統強大且快速的數位訊號處理能力,進行語音的加解密功能。在電路方面,若系統訊號過大,如:聲音、影像之訊號,常會造成電路飽和或運算數值解析度不足的問題,因此混沌系統數位化不僅把體積變小,運算能力也大幅提高了。
主僕系統同步處理設計
在此作品中,如何將連續之混沌系統離散化,並保有原連續系統之混沌特性,是非常重要的,現利用上述說明的方法,可解決此一問題。而在此電子鎖設計中的同步控制包含主僕2個數位化混沌系統,及同步控制器的設計,現舉例說明,但混沌系統不受限於此說明的形式。在上述說明中得知混沌系統擁有許多不穩定的特性,使用其特性進行加密會擁有非常強大之安全性,但既然其擁有不穩定特性,在進行解密工作時也會遇上許多困難,所以一個強健的同步控制器顯得至關重要,本技術將引用在傳送端及接收端之系統架構如圖四所示:
在設計中,將採用主僕混沌系統同步技術,在傳送端與接收端分別設置數位混沌系統,傳送端傳送部分訊號至接收端的同步控制器,經由同步控制器作用,傳送與接收端的主僕混沌系統即可達到同步,亦即在傳送與接收端可同步取得一組相同的隨機訊號,做為加解密之用,在此研發技術中,除要考慮雜訊干擾問題及系統同步的強健性外,實現韌體的設計亦為技術開發重點。
以下就主僕混沌類隨機訊號同步技術說明:
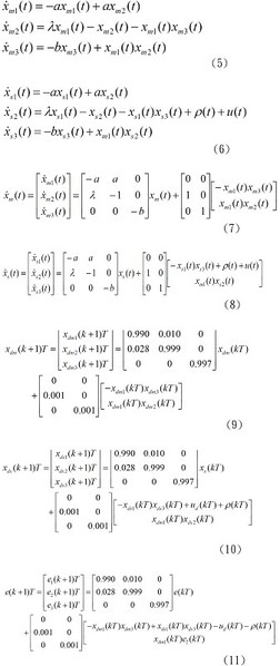
考慮主僕(master and slave)Lorenz 系統如下:
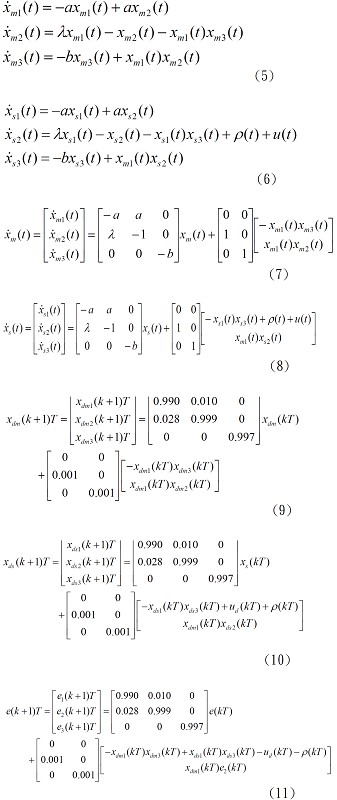
Master Lorenz system: 見式(5)
Slave Lorenz system: 見式(6)
其中為主僕混沌系統狀態,a,b及λ為系統參數,u(t)?R為控制輸入,p(t) ?R為可能的外來擾動。我們將(5)及(6)寫成如式(7-8)的矩陣型式:
在取樣時間T=-0.001 sec.,a=10,b=8/3及λ=28,可得離散系統如式(9)及式(10),以及定義同?誤差,則誤差動態方程可描述如式 (11)。
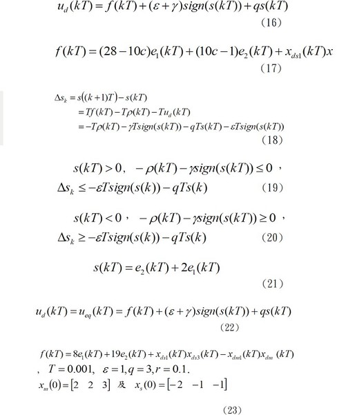
離散化轉換面及滑動模式控制器設計
為使主僕混沌系統同步,可設計離散化轉換面如式(12),其中s(kT)?R,c>0是待設計參數滿足│0.99-0.01c│<1。所以當系統可進入滑動模式,則由式(13)可得到式 (14)的結果。
因c滿足│0.99-0.01c│<1,所以e1(kT)收斂到0,同時,e2(kT)也會隨著收斂到0。當e1(kT),e2(kT)均收斂致0,則e3(k+1)T=0.997e3(kT),也就是e3(kT)亦會收斂到0。由上可知,若可設計控制器,使得s(kT)=e2(kT)+ce1(kT)=0恆成立,則主僕混沌系統將可達到同步。以下為抵達條件(reaching condition)。式(15)其中 q>0;為取樣時間。
定理一
若控制器: u(t) ?R設計為式(16)所示,其中q>0; >0;1-qT>0;T=0.001>0為取樣時間見式(17),則可滿足抵達條件(15)。
證明: 由上,可得式(18),很明顯地,由式(18-20),可確認滿足抵達條件(15)。
模擬驗證
在此模擬中,我們令p(t)=0.1sin(π.t),轉換面設計,選擇c=2,滿足│0.99-0.01c│<1,因此可得穩定的滑動模式,轉換面如式(21),再由 (13),可得控制器如式(22)。
其中模擬的結果如圖五到七所示,由模擬結果可知,主僕混沌系統確實可以達到同步,同時由(16)式可看出,c的選擇可影響誤差收斂速度。
系統功能整合實現
為求改善居家環境之安全,此專利電子鎖需要開啟時,要經過層層的資料比對才能順利開鎖,若開鎖失敗則啟動IP CAMERA讓使用者監控環境。
首先在電子鎖的主系統手機端與僕系統電子鎖端都會產生一組共同密碼,此密碼由主系統端透過離散化後的連續混沌系統對其產生隨機加密的動作,當訊號傳送至接受端僕系統進行解密時,會先經由同步控制器做訊號同步處理,透過同步處理取得相同的隨機訊號後,再進行加解密的機制,下一個驗證動作則是將加解密後得到的密碼與僕系統端原先的共同密碼做核對比較的動作,比對後的密碼若為相同,電子鎖系統則做解鎖之動作,若比對結果錯誤視同失敗,系統則會做出相對應的機制通知主人,整體開鎖準則如圖八所示。
本作品創新使用數位化技術實現,成功取代過去以類比式做為基礎的電子門鎖,設計過程也說明離散化的混沌系統仍然保有原混沌系統的特性,所以我們將HT32F1765晶片與手機作結合,並在電子門鎖端加以應用並實現,另外,此設計不同於以往防盜門鎖是使用動態密碼的機制,這裡則是採用同步控制的機制,讓整個防盜鎖的安全性更加完整且更不容易被破解,並且透過創新手機技術來即時且遠端來觀看家中情形,將電子防盜鎖又更提升了一層安全性。
作品結構
電子鎖具加解密設計系統架構
此創新數位化同步之電子鎖設計,主要作品架構分為下圖九左半邊的主系統手機端與右半邊僕系統電子鎖具端,並將數位化離散化後的混沌系統設置於主僕兩端,另將混沌類隨機訊號同步技術設在僕系統端,透過系統加解密與同步的過程方可得到加解密的結果,經過加以比對後系統再判斷是否解鎖成功。
IP CAMERA與手機創新APP
電子鎖的安全應用之外,此作品另外設計兩台IP CAMERA於門鎖端,利用系統將兩台鏡頭分別向屋內以及屋外做監控,由專屬APP操控其動向,可自由切換觀測視角。
(本文作者潘善政1、顏錦柱2、張皓勛3、王亮凱4 、張自行5為樹德科技大學電腦與通訊系為1-2教授及3-5學生)
參考文獻
[1] 李宜達,控制系統設計微處理機設計與實務MATLAB/SIMULINK,全華圖書,2011/09/29.
[2] 劉超群,Android SDK程式開發應用實務,2013/08.
[3] 李宜達,Android App 初學必修課,碁峰,2013/01.
[4] 楊憲東,非線性系統與控制 II:控制設計,國立成功大學出版中心,2016/07/01.
[5] M.Hirsch(赫希,斯梅爾),微分方程、動力系統與混沌導論,人民郵電出版社,2008/04/01.